Алгоритм поиска неисправностей структурной схемы - смотри 60 фото

Найдено фото: 60

Поиск неисправностей и регулировка магнитофонов - СЦБИСТ - железнодорожный форум
Поиск неисправностей в ЦП СПС BV-1 Судовые системы пожарной сигнализации
Плакаты. Электрическая централизация промеж станций ЭЦ-12-03 - НПЦ "НовАТранс"
ДАТЧИК ТМ100А УКАЗАТЕЛЯ ТЕМПЕРАТУРЫ ОХЛАЖДАЮЩЕЙ ЖИДКОСТИ, УСТРОЙСТВО, ХАРАКТЕРИС
Схема 3S-FE на Нюха с 12.98 года - DRIVE2
Неисправности контактной системы зажигания, двигатель УАЗ заглох
Диаграммы поиска неисправностей проигрывателей CD
Кнопки панели управления не функционируют - FINDOUT.SU
Методика тестирования и поиска неисправностей монитора
Computer Repair Flowcharts Computer troubleshooting, Computer problems, Computer
How to save a decision flow chart as xml - Stack Overflow
Разработка алгоритма диагностики и поиска неисправностей - КиберПедия
Читать - Оглавление - Книга "Автомобиль: поиск и устранение неисправностей. Алго
Читать - Оглавление - Книга "Автомобиль: поиск и устранение неисправностей. Алго
Литвек - Поиск неисправностей в электронике Ден Томел Страница 71 - читать фрагм
Литвек - Поиск неисправностей в электронике Ден Томел Страница 85 - читать фрагм
Литвек - Автомобиль: поиск и устранение неисправностей. Алгоритм действия Владим
Ремонт жидкокристаллических мониторов. Основные направления и методы ремонта. *
Гришин М.В., Кулько А.П., Алгоритм для диагностирования автомобильных двигателей
Механизация строительства. Организация диагностирования строительных и дорожных
78.36.013-2002 "Ложные срабатывания технических средств охранной сигнализации и
Ответы Mail.ru: Алгоритм диагностики блоков управления телевизоров
Авто-Левша, автосервис на улице Грина в Москве - отзывы, фото, цены, телефон, ад
Практическое задание № 19 "Неисправности аппаратуры и их устранение" Контент-пла
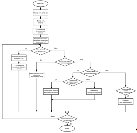
Последовательность поиска причины отказов в рельсовых цепях. - Студопедия.Нет
Ремонт музыкального центра Panasonic SA-AK28. Включается и сразу тухнет. ошибка
НОУТБУК ACER AS 5750 G 2414 G 32
DIAGNOSTICS OF ELECTRONIC ENGINE MANAGEMENT SYSTEMS - Fundamental research
Алгоритм поиска неисправностей блока питания: Техническое обслуживание компьютер
Универсальная инструкция по устранению неисправностей 3G-маршрутизатора TP-Link
Характерные неисправности изделия, Таблица 2 - Характерные неисправности цифрово
Характерные неисправности изделия, Таблица 2 - Характерные неисправности цифрово
Исследовать интерфейс связи, Разработать принципиальную схему субблока (модуля)
Универсальный алгоритм поиска неисправностей
3.2 Алгоритм поиска неисправностей
Алгоритмы поиска неисправностей - Методы обеспечения работоспособного техническо
Алгоритмы устранения неисправностей
Неисправности монитора, Алгоритмы поиска неисправностей - Техническое обслуживан
Система диагностики работоспособности режущего инструмента в условиях автоматизи
Технология ремонта LCD-дисплеев. Курсовая работа (т). Информатика, ВТ, телекомму
Устранение неисправностей стиральных машин Samsung моделей S821GW/YLP, S821GWL/Y
Устройство и ремонт стиральных машины "BEKO" серии 6000
Папярэдні пошук няспраўнасці сістэмы падтрымання хуткасці (Hyundai Santa Fe 2 20
Диагностика и устранение неисправностей датчиков контрольных приборов (Датчики,
Простейшие методы диагностики гидросистем машин Выпуск № 32. Статья № 1.
Дыягностыка няспраўнасцяў генератара (Нісан Серэна 2 C24, 1999-2005) - "Электраа
Volkswagen Golf 1974-1984: Motor je zastao ili se ne pokreće (Opće informacije /