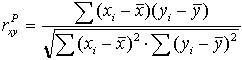
Пример расчета коэффициента корреляции пирсона - смотри 60 фото
Найдено фото: 60


















































Смотрите также
- Голос 11 фото
- Диски k k фото
- Как подключить бортовой компьютер ваз
- Как подключить магнитолу к вай фай
- Кардиган спицами реглан для женщин схемы
- Лапландия барнаул фото
- Небо веневская ул 6 фото
- Нюдовый макияж для зеленых фото
- Большие и сложные проекты
- Какие настройки графики поставить в геншин
- Где найти чертеж мотора в рафт
- Как снять ручку раздатки уаз патриот
- Как на схеме изображается источник тока
- Как обойти чс проекта гта 5 рп
- Кто играет главную роль в фильме перевозчик
- Как поменять переднее крыло на фиат альбеа
- Переключатель обозначение на схеме гост
- Предохранители киа рио 2003 года
- Схема электронного документооборота в организации пример
- Пример дружбы великих людей 6 класс кратко